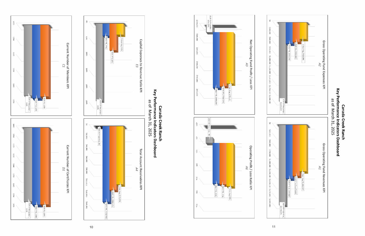
CCR News May 2025 | Page 11
11
CCR News May 2025 | Page 10
CCR News May 2025 | Page 12